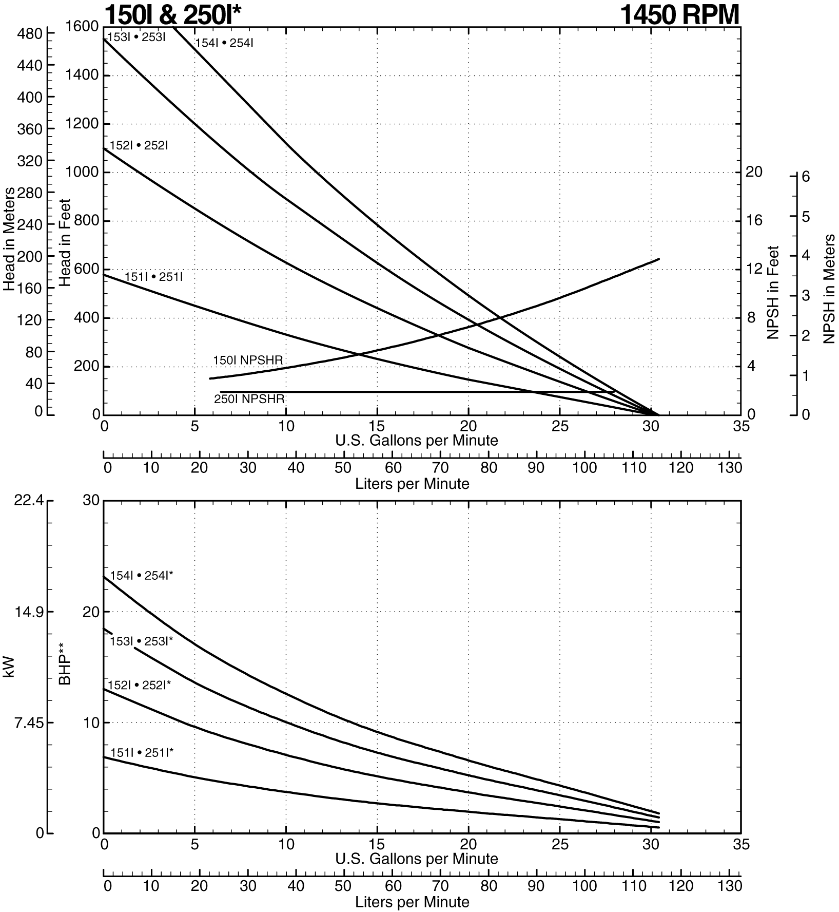
Models 150I • 250I Individual Curve


| Next Model >> |
Notes: Do not exceed 1150 TDH with 1.0 S.G. fluids
Consult factory for operation below 14.0 GPM
*Add 1 horsepower for 250 Series models
**Horsepower data is valid for 1.0 specific gravity fluids only. Data provided is based of performance testing with water.
